Progressão de Carreira no Serviço Público
Progressão de carreira
Olá, caros leitores! Preparados para mais uma sessão de aprendizado? Neste artigo analisaremos um importante aspecto das carreiras públicas que torna o serviço público muito interessante sob a perspectiva financeira: a progressão de carreira.
Para melhor compreensão, o assunto foi dividido nos seguintes tópicos:
- Introdução
- Progressão horizontal e vertical
- Outras formas de progressão
- Requisitos para progressão
Vamos lá!
Introdução
Certamente, a estabilidade conferida pelos cargos públicos de provimento efetivo é um dos principais motivos que levam as pessoas a se interessarem pela carreira pública. A segurança, a estabilidade e a previsibilidade inerente aos cargos públicos chamam bastante atenção das pessoas.
Certamente, a estabilidade é uma das características mais vantajosas dos cargos público. Existem diversos relatos de pessoas que abandonaram cargos no setor privado para tomarem posse em cargos públicos com remunerações um pouco menores. Isso revela que nem sempre o valor da remuneração é determinante para a escolha do tipo de carreira que as pessoas pretendem seguir.
Não obstante, no setor público existem instrumentos que incentivam o servidor a se manter no cargo efetivo. Um desses instrumentos é a progressão de carreira.
Cada carreira pública dispõe de normas específicas que tratam da progressão de carreira. Existem órgãos que adotam a progressão vertical, a progressão horizontal ou, ainda, a evolução de classe. De fato, as formas como a evolução da carreira ocorre podem variar bastante.
De qualquer maneira, a progressão da carreira no serviço público se distingue significativamente em relação à evolução da carreira no setor privado. No setor público, existe a certeza da recompensa quando satisfeitos os requisitos previamente estabelecidos.
Dito isso, veremos a seguir como funciona a progressão de carreira e analisaremos alguns exemplos concretos de normas que regulam seu funcionamento.
Progressão horizontal e vertical
A progressão de carreira costuma combinar dois elementos: classes e níveis.
Os níveis costumam ser indicados por números dispostos horizontalmente nas tabelas de referência. A mudança de nível corresponde a uma progressão, também chamada de progressão horizontal ou evolução horizontal.
Já as classes costumam ser indicadas por letras dispostas verticalmente nas tabelas. A mudança de classe pode ser chamada de promoção, progressão vertical ou evolução vertical.
Essa lógica tende a ser preservada na maior parte das leis que regulam carreiras públicas, mas existem casos em essas nomenclaturas são invertidas ou substituídas por outros termos.
Outras formas de progressão
Em que pese a combinação da progressão horizontal com a progressão vertical ser a mais famosa, existem outras formas de se evoluir a carreira do servidor.
Na Polícia Federal, atualmente a carreira é organizada em 4 classes: a 3ª classe (do início da carreira); a 2ª classe; a 1ª classe; e a classe especial. Determinados cargos comissionados e funções de confiança somente podem ser ocupados por servidores da classe especial.
Na PRF, a lógica adotada na progressão quase a mesma da PF, mas são acrescentados padrões dentro de cada classe, assemelhando-se ao modelo de progressão que combina classes e níveis (progressão vertical e horizontal).
Em Minas Gerais, os servidores do TJMG são organizados em classes e têm seu padrão de vencimento vinculado a PJs, que são parecidos com níveis. Cada classe de cada carreira tem um intervalo de PJs nos quais os servidores podem se enquadrar.
Enfim, existem diversos modelos de progressão, mas a lógica inerente a esses modelos tende a ser preservada. A diferença de um para outro modelo geralmente se reflete na complexidade da representação da evolução.
Requisitos para progressão
Antigamente, a progressão de carreira dependia basicamente do tempo de serviço do servidor em determinado nível ou grau e da ausência do registro de punições da ficha funcional.
Contudo, nem todos os servidores conseguiam progredir, pois a Administração condicionava a progressão à disponibilidade de recursos financeiros e à conveniência administrativa.
Tal situação violava o princípio da legalidade e da confiança jurídica. Assim, diversos processos administrativos e judiciais começaram a ser formados no país com o intuito de conferir aos servidores a progressão na carreira.
Diante disso, a Administração se viu na necessidade de regular de maneira mais organizada a progressão de seus servidores.
Desde então, para ter direito à progressão de carreira, seja vertical ou horizontal, os servidores passaram a ter que cumprir requisitos mais rígidos.
Atualmente, além do interstício (período mínimo no grau ou nível anterior), os servidores podem ter que cumprir requisitos relacionados à formação/escolaridade, à realização de cursos internos ou externos ao órgão em que atuam, à avaliação de desempenho, à ausência de afastamentos etc. Cada órgão tem a prerrogativa de regular esses requisitos, então eles podem se distinguir bastante.
A fim de compreender melhor o funcionamento desses progressões, vejamos as tabelas que abrangem o quadro remuneratório de algumas carreiras públicas.
Tabela remuneratória da PMMG:

Nesse caso, a progressão vertical está relacionada ao nível de escolaridade e ao permanecimento mínimo no nível anterior. A progressão horizontal está condicionada ao permanecimento de tempo mínimo no grau anterior, além do cumprimento de outros requisitos gerais.
Tabela remuneratória de Delegado e Perito da Polícia Federal:

Para progressão na PF, o servidor deve cumprir os seguintes requisitos, conforme Decreto 7.014/09:
Art. 3º São requisitos para promoção nos cargos da Carreira Policial Federal:
I – exercício ininterrupto do cargo:
a) na terceira classe, por três anos, para promoção da terceira para a segunda classe;
b) na segunda classe, por cinco anos, para promoção da segunda para a primeira classe;
c) na primeira classe, por cinco anos, para promoção da primeira para a classe especial;
II – avaliação de desempenho satisfatória; e
III – conclusão, com aproveitamento, de curso de aperfeiçoamento.
Parágrafo único. Interrompido o exercício, a contagem do interstício começará a correr a partir do retorno do servidor à atividade.
Ou seja, após 13 anos os peritos e delegados da PF podem atingir a categoria mais alta da carreira.
Caso tenha interesse em avaliar a atratividade de outras carreiras federais, as remunerações de todos os cargos do executivo podem ser consultadas no site do governo.
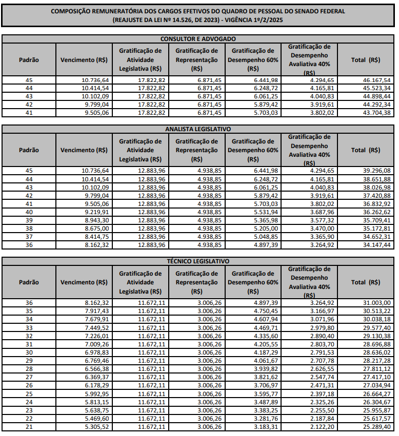
Tabela remuneratória de alguns cargos do Senado Federal:

Como se pode notar, cada carreira dispõe de especificidades relacionadas à progressão. Alguns cargos podem não parecer atrativos inicialmente, mas se tornam muito vantajosos quando consideradas as progressões.
Evidencia-se, portanto, que conhecer a carreira e como ocorre sua evolução é muito importante para a escolha da área de estudo para concurso.
Sabe de algum exemplo de progressão funcional que seja bastante atrativo? Comente abaixo e visite os links a seguir para ter acesso a outros conteúdos do Estratégia Concursos.