Medidas de Tendência Central
Aprenda os conceitos essenciais sobre medidas de tendência central com um resumo para as principais provas de concursos.
Olá, pessoal! Tudo bem com vocês?
As medidas de tendência central são ferramentas fundamentais da Estatística, utilizadas para representar, por meio de um único valor, o comportamento “central” ou típico de um conjunto de dados. Elas permitem resumir informações, comparar conjuntos de dados e apoiar a tomada de decisões em diversas áreas, como administração, economia, saúde e educação.
Por essa razão, o tema é recorrente em provas de concursos públicos de bancas como FGV, CEBRASPE e FCC, exigindo não apenas o conhecimento das fórmulas, mas também a correta interpretação de cada medida.
Neste artigo, vamos entender como funcionam as principais medidas de tendência central, com explicações e exemplos que facilitam a compreensão, para que você possa revisar a matéria de forma rápida e estratégica.
Confira os tópicos que serão abordados:
- O que são medidas de tendência central;
- Média;
- Mediana;
- Moda;
- Exemplo prático;
- Resumo.
Medidas de Tendência Central
As medidas de tendência central são valores que indicam o centro de uma distribuição de dados, isto é, um ponto em torno do qual os dados tendem a se concentrar.
As principais medidas de tendência central são:
- Média
- Mediana
- Moda
Cada uma delas possui características próprias e pode ser mais adequada dependendo do tipo de dado analisado e da presença (ou não) de valores extremos (outliers).
Média
A média é a principal medida de tendência central e pode ser calculada de três formas principais.
Média aritmética
A média aritmética é a medida de tendência central mais conhecida e utilizada. Ela é obtida somando-se todos os valores do conjunto e dividindo-se pelo número total de observações.
Fórmula:

Observação importante: A média aritmética é sensível a valores extremos (outliers), ou seja, pode ser distorcida significativamente caso esses valores estejam presentes.
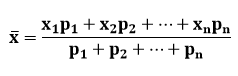
Média ponderada
A média ponderada é utilizada quando os valores do conjunto possuem pesos diferentes, indicando maior ou menor importância relativa.
Fórmula:

Aplicação típica: cálculo de médias escolares, em que provas possuem pesos distintos.
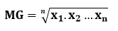
Média geométrica
A média geométrica é útil principalmente em situações que envolvem taxas de crescimento, índices ou variações percentuais sucessivas.
Fórmula:

Aplicações comuns:
- Crescimento populacional
- Rentabilidade de investimentos
- Taxas médias de crescimento ao longo do tempo
Moda
Entre as medidas de tendência central, a moda é o valor que mais se repete em um conjunto de dados. Para encontrá-la, devemos calcular a frequência absoluta de cada valor dentro do conjunto. Além disso, é importante saber que o conjunto pode ser:
- Amodal: quando todos os valores aparecem apenas uma vez e, portanto, não há moda.
- Unimodal: um valor é o mais frequente.
- Bimodal: dois valores aparecem com a mesma frequência máxima.
- Multimodal: mais de dois valores aparecem com a mesma frequência máxima.
Por exemplo: Seja um conjunto composto pelos valores 2, 4, 4, 5, 5, 7.
Nesse caso, o conjunto possui duas modas: 4 e 5, e, portanto, trata-se de um conjunto bimodal.
A moda é especialmente útil em dados qualitativos ou categóricos.
Mediana
A mediana é a medida de tendência central que representa o valor central do conjunto quando os dados estão ordenados em ordem crescente. Ou seja, devemos ordenar o conjunto de dados antes de encontrar a mediana. Nesse sentido, dividiremos os exercícios em dois casos:
a) Se o número de elementos for ímpar, a mediana é o valor que ocupa a posição central.
Por exemplo: Conjunto formado por 8, 7, 12, 3, 15.
Ordenando os valores, temos: 3, 7, 8, 12, 15. Portanto, a mediana é o 8.
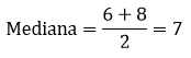
b) Se o número de elementos for par, a mediana é a média aritmética dos dois valores centrais.
Por exemplo: Conjunto formado por 8, 6, 5, 10.
Ordenando os valores, temos: 5, 6, 8, 10. Dessa forma:

A maior vantagem da mediana é não ser afetada por valores extremos, sendo muito útil em distribuições assimétricas.
Exemplo Prático – Medidas de Tendência Central
Considere o conjunto de dados referente aos salários (em R$) de cinco funcionários:
1.800, 2.000, 2.200, 2.200, 10.000
1) Média aritmética:

É possível verificar que o valor é muito influenciado pelo salário de R$ 10.000.
2) Mediana:
Dados ordenados: 1.800, 2.000, 2.200, 2.200, 10.000.
Como há 5 valores (quantidade ímpar), a mediana é o valor central: 2.200.
3) Moda:
O valor que mais se repete e, portanto, a moda, é o 2.200.
4) Média geométrica:

MG = 2.730
Interpretação: a média geométrica fica menor que a média aritmética, pois reduz o impacto do valor extremo (R$ 10.000).
Observação de prova: a média geométrica sempre será menor ou igual à média aritmética, quando os valores são positivos e distintos.
5) Média ponderada:
Suponha agora que:
- Os quatro primeiros funcionários tenham peso 1
- O funcionário com salário de R$ 10.000 tenha peso 2 (por exemplo, maior carga horária ou responsabilidade)
Ou seja:
| Salário (R$) | Peso |
| 1.800 | 1 |
| 2.000 | 1 |
| 2.200 | 1 |
| 2.200 | 1 |
| 10.000 | 2 |
Portanto:

Observação: como o maior valor recebeu peso maior, a média ponderada aumentou significativamente — ponto clássico de cobrança em concursos.
Resumo – Medidas de Tendência Central
Para te ajudar a revisar tudo o que vimos até aqui sobre medidas de tendência central, de forma rápida e estratégica, preparamos um resumo:
| Medida | Definição | Característica |
| Média aritmética | Soma dos valores dividida pela quantidade | Sensível a valores extremos |
| Média ponderada | Média com pesos diferentes | Considera importância relativa |
| Média geométrica | Raiz do produto dos valores | Usada em taxas e crescimentos |
| Moda | Valor mais frequente | Útil para dados qualitativos |
| Mediana | Valor central do conjunto ordenado | Resistente a outliers |
Finalizando – Medidas de Tendência Central
As medidas de tendência central são instrumentos essenciais para a análise e interpretação de dados. Cada medida possui vantagens e limitações, sendo fundamental escolher aquela que melhor representa o conjunto analisado.
Em provas de concursos, compreender quando usar média, mediana ou moda é tão importante quanto saber calculá-las, pois o domínio desses conceitos permite análises mais precisas e decisões mais fundamentadas. A chave para esse domínio está na prática.
É importante reforçar que este conteúdo deve ser utilizado como complemento ao material em PDF, onde a abordagem é aprofundada e completa. Além disso, é fundamental praticar com muitas questões, preferencialmente separadas por banca, para entender as diferentes formas de cobrança.
Quer se aprofundar no tema? O Estratégia Concursos disponibiliza materiais em PDF completos e atualizados, com teoria detalhada, questões comentadas e videoaulas direcionadas para cada concurso. Com prática e um bom material, você estará preparado para resolver qualquer questão de medidas de tendência central que aparecer na sua prova.
Acesse os cursos do Estratégia Concursos e fortaleça sua preparação com um conteúdo de alto nível.
Bons estudos e até a próxima!
Cursos e Assinaturas
Prepare-se com o melhor material e com quem mais aprova em Concursos Públicos em todo o país!