Conheça as remunerações do concurso TRT RS!
As remunerações do concurso TRT RS podem chegar a quase R$30 mil!
O Tribunal Regional do Trabalho do Rio Grande do Sul autorizou a realização de um novo concurso para servidores.
A comissão já está formada e é responsável por iniciar os trâmites necessários para o novo edital.
Os cargos e vagas ainda serão definidos, mas você pode já ir se preparando e conhecendo um pouco mais sobre a estrutura remuneratória do tribunal e seus servidores!
Remunerações do concurso TRT RS

De acordo com a edição do dia 10 de janeiro de 2023 do Diário Oficial da União, ficou alterada a Lei nº 11.416, de 15 de dezembro de 2006, para reajustar a remuneração das carreiras dos servidores dos quadros de pessoal do Poder Judiciário da União.
Conforme a publicação, “os valores constantes dos Anexos II, III e VIII da Lei nº 11.416, de 15 de dezembro de 2006, e as demais parcelas remuneratórias devidas às carreiras dos servidores dos quadros de pessoal do Poder Judiciário da União foram reajustados em parcelas sucessivas e cumulativas, da seguinte forma:
I – 6% , a partir de 1º de fevereiro de 2023;
II – 6% , a partir de 1º de fevereiro de 2024;
III – 6,13% , a partir de 1º de fevereiro de 2025.
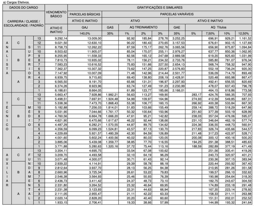
Vale lembrar que os salários dos servidores dos Tribunais são compostos pelo vencimento básico + GAJ (Gratificação de Atividade Judiciária), além de outras gratificações, como o GAE (Gratificação de Atividade Externa) e GAS (Gratificação de Atividade de Segurança), quando aplicável.
Com a mudança, a estrutura remuneratória apresentada passa a ter os seguintes salários iniciais para as carreias de Técnico e Analista:
- Analista Judiciário (Vencimento básico + GAJ)
- 2025
- Inicial: R$ 14.852,66
- Final: R$ 22.301,14
- 2025
- Técnico Judiciário (Vencimento básico + GAJ)
- 2025
- Inicial: R$ 9.052,54
- Final: R$ 13.592,33
- 2025
A partir de 2025, além do vencimento básico atualizado, os aprovados terão direito a benefícios como auxílio pré-escolar no valor de R$ 1.235,77, e auxílio alimentação no valor de R$1.460,90, Auxílio-Natalidade no valor de R$718,58 e Auxílio-Saúde no valor de R$579,39.
Nova proposta de reajuste
O Projeto de Lei 4750/25 (PL 4750/25), relatado pelo deputado Rafael Prudente (MDB-DF), propõe um aumento de 8% nos salários em julho de cada ano, cobrindo o período de 2026 a 2028, somando 25,97% ao final dos 3 anos com a correção.
O texto está sob análise do Senado Federal e, se aprovado, os vencimentos para Analista e Técnico passarão a ter os valores abaixo:
Salários conforme o PL 4750/2025
| CARGO | CLASSE | PADRÃO | A partir de 1°/7/2026 | A partir de 1°/7/2027 | A partir de 1°/7/2028 |
|---|---|---|---|---|---|
| Analista Judiciário | C | 13 | 10.035,51 | 10.838,35 | 11.705,42 |
| 12 | 9.743,22 | 10.522,68 | 11.364,49 | ||
| 11 | 9.459,43 | 10.216,18 | 11.033,48 | ||
| 10 | 9.183,91 | 9.918,62 | 10.712,11 | ||
| 9 | 8.916,43 | 9.629,74 | 10.400,42 | ||
| B | 8 | 8.435,59 | 9.110,44 | 9.839,27 | |
| 7 | 8.189,89 | 8.845,08 | 9.552,69 | ||
| 6 | 7.951,36 | 8.587,47 | 9.274,47 | ||
| 5 | 7.719,75 | 8.337,33 | 9.004,32 | ||
| 4 | 7.494,93 | 8.094,52 | 8.742,09 | ||
| A | 3 | 7.090,74 | 7.658,00 | 8.270,64 | |
| 2 | 6.884,20 | 7.434,94 | 8.029,73 | ||
| 1 | 6.683,70 | 7.218,39 | 7.795,87 | ||
| Técnico Judiciário | C | 13 | 6.116,55 | 6.605,87 | 7.134,34 |
| 12 | 5.938,39 | 6.413,46 | 6.926,54 | ||
| 11 | 5.765,43 | 6.226,66 | 6.724,80 | ||
| 10 | 5.597,51 | 6.045,31 | 6.528,94 | ||
| B | 9 | 5.434,45 | 5.869,21 | 6.338,34 | |
| 8 | 5.141,40 | 5.552,72 | 5.996,93 | ||
| 7 | 4.991,65 | 5.390,98 | 5.822,26 | ||
| 6 | 4.846,27 | 5.233,98 | 5.652,69 | ||
| 5 | 4.705,12 | 5.081,53 | 5.488,05 | ||
| A | 4 | 4.568,07 | 4.933,51 | 5.328,19 | |
| 3 | 4.321,73 | 4.667,47 | 5.040,86 | ||
| 2 | 4.195,86 | 4.531,53 | 4.894,06 | ||
| 1 | 4.073,63 | 4.399,52 | 4.751,48 |
Você pode conferir o detalhamento da folha de pagamento de pessoal e ver os valores reais!
Para saber tudo sobre a seleção, acesse: concurso TRT RS
Quer estudar para concurso TRT4?
Prepare-se com o melhor material e com quem mais aprova em Concursos Públicos em todo o país.