Porcentagem: Guia Completo Para Concursos
Aprenda os conceitos essenciais sobre porcentagem com um resumo para resolver questões das principais provas de concursos.
Olá, pessoal! Tudo bem com vocês?
A porcentagem é um dos temas mais cobrados em provas de concursos públicos, aparecendo tanto de forma direta quanto integrada a outros conteúdos, como razão, proporção, juros e estatística. Apesar de parecer simples à primeira vista, muitos candidatos cometem erros por falta de domínio dos conceitos básicos e das principais estratégias de resolução das questões.
Além disso, bancas como FGV e FCC costumam explorar variações do tema, especialmente envolvendo aumentos e descontos sucessivos, variação percentual e interpretação de problemas contextualizados. Por isso, dominar a porcentagem não é apenas uma questão de memorização de fórmulas, mas de compreensão lógica e prática.
Neste artigo, você encontrará um guia completo sobre porcentagem, com explicações claras, fórmulas, exemplos práticos e dicas essenciais para resolver questões de prova com segurança e agilidade.
Confira os tópicos que serão abordados:
- O que é porcentagem;
- Como calcular porcentagem;
- Aumentos e descontos;
- Porcentagem de porcentagem;
- Variação percentual;
- Resumo.
O Que é Porcentagem
Porcentagem é uma forma de representar uma parte de um todo, ou seja, uma razão com denominador igual a 100. Em outras palavras, indica quantas partes de um total de 100 estão sendo consideradas.
Matematicamente:

Essa representação permite converter porcentagens em números decimais ou frações, facilitando os cálculos.
Exemplos:
- 10% = 0,1
- 25% = 0,25
- 50% = 0,5
- 75% = 0,75
A interpretação prática é direta: 30% significa 30 partes de um total de 100, ou seja, 30/100 do valor considerado.
Como Calcular Porcentagem
Método direto
Para calcular uma porcentagem de um valor, basta multiplicar o valor pela fração correspondente.
Por exemplo: calcule 15% de 200.
15% = 0,15
0,15 x 200 = 30
Método da proporção
Sempre é possível resolver porcentagens utilizando regra de três, o que pode ser muito útil em algumas questões.
Por exemplo: 40% de um número é igual a 80. Qual é esse número?

40N = 8000
N = 200
Dica – estratégia mental
O complemento de um conjunto representa os elementos que não pertencem ao conjunto.
Em muitos casos, é possível descompor a porcentagem.
Por exemplo: Calcular 18% de 200.
- 10% → 20
- 5% → 10
- 3% → 6
Somando: 20 + 10 + 6 = 36.
Esse método é rápido e muito útil em provar, pois evita cálculos mais pesados.
Aumentos e Descontos
Aumento percentual
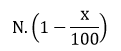
Quando um valor sofre aumento de x%, o novo valor pode ser obtido multiplicando-se o valor inicial por:

Por exemplo: Um produto que custava R$ 300 sofre um aumento de 20%.

Portanto, o produto passa a custar R$ 360.
Desconto percentual
Do mesmo modo, um desconto de x% corresponde a uma multiplicação do valor original por:

Por exemplo: Um produto que custava R$ 300 sofre um desconto de 25%.

Portanto, o produto passa a custar R$ 225.
Aumentos e descontos sucessivos
Esse é um dos pontos mais cobrados em prova e também um dos que mais geram erro. É importante ter em mente que percentuais não devem ser somados diretamente. Ou seja, cada variação deve ser aplicada sobre o valor atualizado.
Por exemplo: Um produto, que custava R$ 100, sofre um aumento de 20%, seguido por um desconto de 20%.
Inicialmente, o valor passa a ser 100 x 1,2 = R$ 120
Em seguida, o preço final após o desconto é 120 x 0,8 = R$ 96
Portanto, ao final, houve redução de 4%, e não estabilidade.
Porcentagem de Porcentagem
Quando se calcula uma porcentagem sobre outra, basta multiplicar os valores em forma decimal.
Por exemplo:
25% de 40% = 0,25 x 0,4 = 0,1 = 10%
Variação Percentual
A variação percentual mede o crescimento ou a redução entre dois valores e é calculada da seguinte forma:

Por exemplo: se um valor passa de 150 para 210, então:

Além disso, é possível também a resolução utilizando regra de três. Basta lembrar que o valor inicial (150) corresponde a 100% e que queremos encontrar o percentual da variação (60). Portanto:

150.Variação = 6000
Variação = 40%
Resumo – Porcentagem
Para te ajudar a revisar tudo o que vimos até aqui sobre porcentagem, de forma rápida e estratégica, preparamos um resumo:
| Situação | Fórmula |
| x% de N | ![]() |
| Aumento de x% | ![]() |
| Desconto de x% | |
| Variação percentual | |
| Porcentagem de porcentagem | Multiplicação das porcentagens |
Finalizando – Porcentagem
A porcentagem é um dos pilares da matemática aplicada em concursos públicos e está presente em uma ampla variedade de questões, desde cálculos diretos até problemas mais elaborados envolvendo múltiplas etapas. O domínio desse conteúdo permite ao candidato resolver questões com mais rapidez, segurança e eficiência, e a chave para isso está na prática.
Mais do que decorar fórmulas, é fundamental compreender a lógica por trás dos cálculos e desenvolver estratégias práticas, como o uso de fatores multiplicativos e decomposição percentual. Além disso, a atenção aos detalhes, especialmente em casos de variações sucessivas, é decisiva para evitar erros comuns. Com estudo consistente e prática direcionada, a porcentagem deixa de ser um obstáculo e passa a ser uma oportunidade de ganho de pontos na prova.
É importante reforçar que este conteúdo deve ser utilizado como complemento ao material em PDF, onde a abordagem é aprofundada e completa. Além disso, é fundamental praticar com muitas questões, preferencialmente separadas por banca, para entender as diferentes formas de cobrança.
Quer se aprofundar no tema? O Estratégia Concursos disponibiliza materiais em PDF completos e atualizados, com teoria detalhada, questões comentadas e videoaulas direcionadas para cada concurso. Com prática e um bom material, você estará preparado para resolver qualquer questão de porcentagem que aparecer na sua prova.
Acesse os cursos do Estratégia Concursos e fortaleça sua preparação com um conteúdo de alto nível.
Bons estudos e até a próxima!
Cursos e Assinaturas
Prepare-se com o melhor material e com quem mais aprova em Concursos Públicos em todo o país!

