Guia completo de remuneração e benefícios para o concurso TJ RJ
Edital do TJ RJ será publicado em outubro!
O concurso do Tribunal de Justiça do Rio de Janeiro está com seu novo edital publicado!
Segundo a assessoria de comunicação do órgão, esta seleção deve ter mais de 1.200 nomeados.
São ofertadas vagas para técnico, sem especialidade e de nível médio, e para analista, com e sem especialidades, de nível superior.
Pensando em te deixar bem informado sobre onde irá trabalhar e o que o cargo pleiteado pode oferecer, criamos este artigo com o guia completo de remuneração e benefícios para os cargos do TJ RJ.
Confira e esteja pronto para tomar posse!
Guia completo de remuneração e benefícios para os cargos do TJ RJ
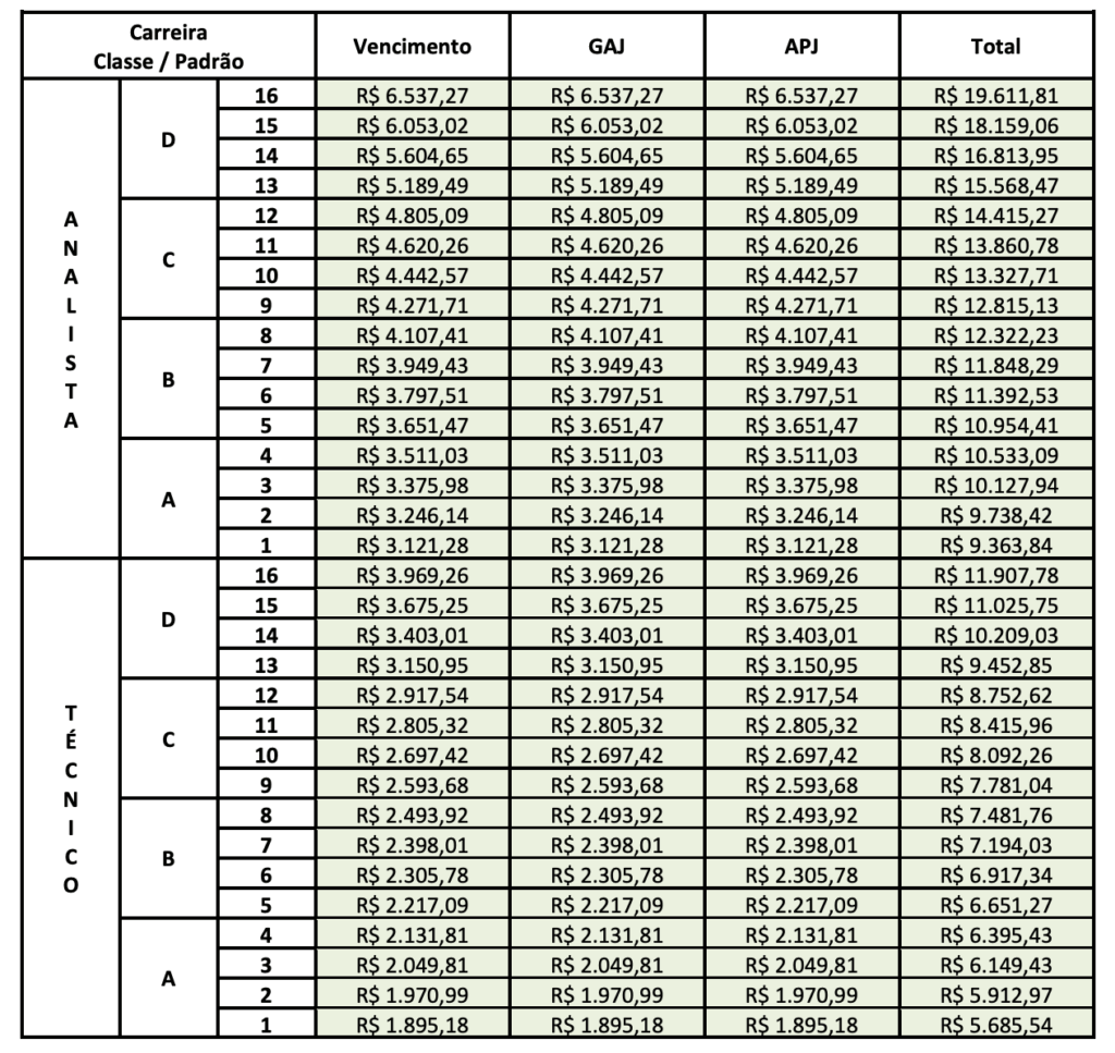
A estrutura remuneratória do TJ RJ
Abaixo você confere como está organizada a estrutura remuneratória do tribunal para os cargos que serão ofertados no edital.

As gratificações
Os servidores fazem jus a duas gratificações:
- Gratificação de Atividade Judiciária (GAJ); e
- Adicional de Padrão Judiciário (APJ).
Dos adicionais
**O servidor faz jus ao recebimento do adicional de qualificação, não cumulativo, de 7,5% (graduação); 10% (especialização); 12,5% (mestrado) ou 15% (doutorado) (art. 21 da Lei estadual nº 9.748/2022).
***O Analista Judiciário, especialidade Execução de Mandados, percebe verba mensal de caráter indenizatório no valor de R$ 3.560,57, a título de gratificação de locomoção, enquanto se encontrar no exercício das atribuições específicas do seu cargo (art.17, caput, da Lei Estadual nº 9.748/2022).
Os benefícios
Além de todas as gratificações e adicionais, ao ingressar no Quadro Único de Pessoal do Poder Judiciário, o servidor tem à sua disposição os seguintes benefícios:
- Auxílio-Alimentação de R$ 1.605,26;
- Auxílio-Locomoção de R$ 532,39;
- Auxílio-Saúde de R$ 1.057,17;
- Auxílio-Adoção;
- Auxílio-Creche de R$ 1.335,79;
- Auxílio-Doença;
- Auxílio Educação de R$ 1.495,53;
- Auxílio-Funeral;
- Adicional por tempo de serviço.
As progressões
O plano de carreira do TJRJ traz as seguintes informações sobre as formas de progressão nas carreiras:
- De A1 até o C12, cada progressão/promoção equivalerá a um acréscimo de 4%; e, do D13 ao D16, cada progressão/promoção significará um acréscimo de 8% na remuneração;
- A progressão/promoção ocorrerá a cada 1 ano e meio, salvo na primeira progressão, cujo prazo será de 3 anos, acompanhando o período do estágio probatório.
- Como o plano possui 16 padrões, o servidor chegará ao último degrau (D16) em 25 anos e meio, permitindo que o servidor alcance o topo da carreira antes de se aposentar.
Quer ficar por dentro do novo concurso TJ RJ? Acesse!
Quer saber tudo sobre concursos previstos? Confira nossos artigos!
Cursos e Assinaturas para o Concurso TJ RJ
Prepare-se com o melhor material e com quem mais aprova em Concursos Públicos em todo o país.