Concurso Procon DF: validade prorrogada até 2027!
A validade do concurso Procon DF (Instituto de Defesa do Consumidor do Distrito Federal) foi prorrogada até 21 de julho de 2027!

Sob organização do do Instituto Quadrix, o edital ofertou 174 vagas para os cargos de Técnico e Analista de Atividades de Defesa do Consumidor. Os futuros servidores receberão salários iniciais de até R$ 6,6 mil.
- Instituto de Defesa do Consumidor do Distrito Federal
- Status: validade prorrogada até 2027
- Banca: Instituto Quadrix
- Vagas: 69 + 105 CR
- Salário inicial reajustado: R$ 5.504,41 e R$ 7.434,43
- Edital: Procon DF 2023
Se você tem interesse na seleção, chegou ao lugar certo! Ao longo deste artigo você confere as principais informações sobre o concurso Procon DF:
Concurso Procon DF: distribuição das vagas
Nível médio
| Cargo | Vagas | Salário |
|---|---|---|
| Técnico de Atividades de Defesa do Consumidor – Agente Administrativo | 24 + 27 CR | R$ 4.898,91 |
Nível superior
| Cargo | Vagas | Salário |
|---|---|---|
| Analista de Atividades de Defesa do Consumidor – Administração | 06 + 12 CR | R$ 6.616,62 |
| Analista de Atividades de Defesa do Consumidor – Arquivologia | 01 + 02 CR | R$ 6.616,62 |
| Analista de Atividades de Defesa do Consumidor – Contabilidade | 03 + 03 CR | R$ 6.616,62 |
| Analista de Atividades de Defesa do Consumidor – Direito e Legislação | 19 + 19 CR | R$ 6.616,62 |
| Analista de Atividades de Defesa do Consumidor – Economia | 01 + 02 CR | R$ 6.616,62 |
| Analista de Atividades de Defesa do Consumidor – Especialista em Recursos Humanos | 01 + 01 CR | R$ 6.616,62 |
| Analista de Atividades de Defesa do Consumidor – Jornalismo | 02 + 02 CR | R$ 6.616,62 |
| Analista de Atividades de Defesa do Consumidor – Modernização da Gestão Pública | 02 + 02 CR | R$ 6.616,62 |
| Fiscal de Atividades de Defesa do Consumidor | 10 + 35 CR | R$ 6.616,62 |
Demanda de inscritos
De acordo com a relação de inscrições deferidas, ao todo, 18.330 candidatos concorreram às 174 vagas:
- 10.300 inscritos – Técnico de Atividades de Defesa do Consumidor;
- 5.696 inscritos – Analista de Atividades de Defesa do Consumidor; e
- 2.334 inscritos – Fiscal de Defesa do Consumidor.
>>> Confira a demanda completa por cargo e tipo de vaga
Concurso Procon DF: carreira
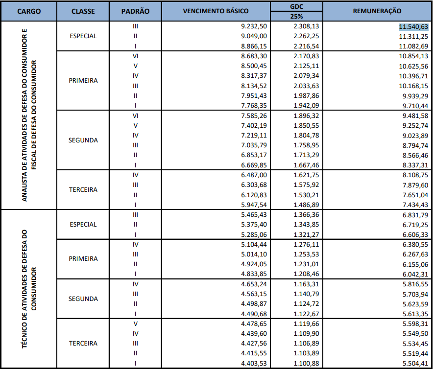
Remuneração
Veja abaixo o valor inicial e final da remuneração (composta por vencimento básico + Gratificação de Defesa do Consumidor de 25%) conforme a estrutura remuneratória dos cargos de Defesa do Consumidor do DF:
- Técnico:
- Inicial: R$ 5.504,41 (classe 3, padrão I)
- Final: R$ 6.831,79 (classe especial, padrão III)
- Analista e Fiscal:
- Inicial: R$ 7.434,43 (classe 3, padrão I)
- Final: R$ 11.540,63 (classe especial, padrão III)

Requisitos
Fiscal de Defesa do Consumidor: Diploma de conclusão de curso de graduação em qualquer área e registro no Conselho de Classe, quando for o caso.
Técnico de Atividade de Defesa do Consumidor: Certificado de conclusão de curso de ensino médio, curso Técnico na área do cargo e registro e registro no Conselho de Classe, quando for o caso.
Analista de Atividade de Defesa do Consumidor: Diploma de conclusão de curso de graduação de Bacharelado na respectiva área e registro no Conselho de Classe.
Atribuições dos cargos
Fiscal de Defesa do Consumidor
Planejar, coordenar, supervisionar, avaliar e executar atividades de fiscalização relativas às normas de defesa do consumidor, participar de programas de desenvolvimento que envolvam conteúdos relativos à área de atuação ou neles atuar, executar outras atividades de interesse da área.
Técnico de Atividade de Defesa do Consumidor – Agente Administrativo
Executar atividades relacionadas aos serviços de apoio administrativo referentes a gestão de pessoas, finanças, orçamento, patrimônio, cargos e salários, material, transporte, documentação, microfilmagem, arquivo, comunicação e modernização; participar de programas de desenvolvimento que envolvam conteúdos relativos à área de atuação.
Analista de Atividade de Defesa do Consumidor – Administração
Planejar, coordenar, supervisionar, avaliar e executar atividades administrativas referentes à gestão de pessoas, finanças, orçamento, patrimônio, material, transporte, cargos e salários e organização e métodos; participar de programas de desenvolvimento que envolvam conteúdos relativos à área de atuação ou neles atuar.
Analista de Atividade de Defesa do Consumidor – Arquivologia
Executar atividades arquivísticas, estudos e pesquisas com enfoque histórico administrativo sobre gerenciamento de informação e de gestão documental e sua aplicação; participar de programas de desenvolvimento que envolvam conteúdos relativos à área de atuação ou neles atuar.
Analista de Atividade de Defesa do Consumidor – Contabilidade
Planejar, coordenar, supervisionar, avaliar e executar atividades relacionadas à contabilidade em geral, com vistas à elaboração orçamentária e ao controle da situação financeira e patrimonial; participar de programas de desenvolvimento que envolvam conteúdos relativos à área de atuação ou neles atuar.
Analista de Atividade de Defesa do Consumidor – Direito e Legislação
Executar atividades referentes ao estudo e à orientação de atos que envolvam conhecimento técnico das
legislações consumeristas, bem como quaisquer outras que demandem saber jurídico de interesse do PROCON-DF.
Analista de Atividade de Defesa do Consumidor – Economia
Executar atividades referentes à pesquisa, análise econômica e sua aplicação; participar de programas de
desenvolvimento que envolvam conteúdos relativos à área de atuação ou neles atuar.
Analista de Atividade de Defesa do Consumidor – Jornalismo
Planejar, coordenar, supervisionar, avaliar e executar atividades relacionadas à cobertura dos eventos e das reuniões, quando o PROCON-DF for parte e manifestar-se sobre os tópicos referentes à área de comunicação social; participar de programas de desenvolvimento que envolvam conteúdos relativos à área de atuação.
Analista de Atividade de Defesa do Consumidor – Modernização da Gestão Pública
Planejar, coordenar, supervisionar, avaliar e executar atividades relacionadas a planos, programas e projetos com ênfase na melhoria da gestão pública; participar de programas de desenvolvimento que envolvam conteúdos relativos à área de atuação.
Analista de Atividade de Defesa do Consumidor – Recursos Humanos
Planejar, coordenar, supervisionar, avaliar e executar atividades de administração e psicologia aplicada ao trabalho, tais como recrutamento, seleção, treinamento, acompanhamento e avaliação de desempenho, análise de cargos e salários; participar de programas de desenvolvimento que envolvam conteúdos relativos à área de atuação ou neles atuar.
Cargos vagos no Procon DF
Segundo dados do Portal da Transparência do Distrito Federal de maio de 2025, existem 117 cargos vagos na carreira:
- Fiscal de Defesa do Consumidor – 32
- Técnico de Atividade de Defesa do Consumidor – 33
- Analista de Atividade de Defesa do Consumidor – 52
Concurso Procon DF: etapas
Os candidatos inscritos foram avaliados por meio das seguintes etapas:
- prova objetiva, de caráter eliminatório e classificatório; e
- prova discursiva, de caráter eliminatório e classificatório.
Prova objetiva
A etapa, de caráter eliminatório e classificatório, foi composta de 120 questões do tipo CERTO (C) ou ERRADO (E), no valor total de 120,00 pontos, avaliando as habilidades e conhecimentos do candidato.
Técnico e Analista de Atividades de Defesa do Consumidor
Conhecimentos básicos – 50 questões
- Língua Portuguesa;
- Atualidades;
- Noções de Informática e do Sistema Eletrônico de Informações; e
- Legislação.
Fiscal de Atividades de Defesa do Consumidor
Conhecimentos básicos – 50 questões
- Língua Portuguesa;
- Atualidades;
- Noções de Informática e do Sistema Eletrônico de Informações;
- Noções de Matemática Financeira e Raciocínio Lógico; e
- Noções de Microeconomia.
Conhecimentos específicos (todos os cargos) – 70 questões
Prova discursiva
A etapa, de caráter eliminatório e classificatório, valeu 30,00 pontos e consistiu na elaboração de texto dissertativo, com extensão mínima de 20 linhas e máxima de 30 linhas, a respeito de tema relacionado aos conhecimentos básicos (Atualidades).
Cursos para o concurso Procon DF
Quer saber tudo sobre os concursos previstos?
Confira nossos artigos!

♦Informações do último Concurso Procon DF
- Ano: 2023
- Vagas: 69 + 105 CR
- Cargos: Fiscal, Analista e Técnico
- Banca: Instituto Quadrix
- Escolaridade: níveis médio e superior
- Edital: Procon DF 2023