Concurso Hemocentro DF: edital com 123 vagas em breve
Previsão é que o Concurso Hemocentro DF ofereça 123 vagas para Analista e Técnico. Comissão já está formada!
A realização do novo concurso Hemocentro DF (Fundação Hemocentro de Brasília) segue aguardada. A previsão é de que sejam ofertadas cerca de 123 vagas.
Inclusive, foi publicada a formação do grupo de trabalho que acompanhará as atividades do certame, que contará com oportunidades para as carreiras de Analista e Técnico de Atividades.
Além disso, conforme informações do presidente Osnei Okumoto, a seleção aguarda aprovação da reestruturação das carreiras do órgão, que contará também com vagas para Sanitarista.
Contudo, o andamento do certame está temporariamente suspenso em razão do Decreto nº 47.386/25, que estabelece medidas de racionalização de despesas públicas no Distrito Federal.
- Hemocentro DF
- Status: grupo de trabalho formado
- Vagas: 123
- Salário: R$ 8.119,39 a R$ 12.754,35 (40h)
- Último edital: Hemocentro DF 2016
Neste artigo você vai encontrar informações atuais e curiosidades sobre o concurso. Acompanhe por meio dos seguintes tópicos.
- Panorama atual do concurso
- Carreira no Hemocentro DF
- Último concurso
- Assinatura e cursos
- Ficha técnica
Panorama do concurso Hemocentro DF
Previsão de vagas e situação atual
Em contato com a assessoria de comunicação do Hemocentro, fomos informados de que o andamento do certame está sobrestado.
Ou seja, temporariamente suspenso em razão do Decreto nº 47.386/25, que estabelece medidas de racionalização de despesas públicas no DF.
A previsão é de que sejam ofertadas 123 vagas, mesmo quantitativo de cargos vagos.

Lembrando que a previsão inicial era de 121 vagas para Analista e Técnico de Atividades, também com oportunidades para Sanitarista.
Grupo de Trabalho formado
Está formado o grupo de servidores que acompanhará as atividades do próximo concurso da fundação. Serão ofertadas vagas para Analista e Técnico.
Além disso, segundo informações divulgadas, serão ofertadas 121 vagas. Veja abaixo o documento na íntegra!

LOA 2026
Foi publicada a Lei de Diretrizes Orçamentárias (LDO) de 2026, que prevê a nomeação de 123 aprovados.
Importante destacar que os provimentos estão condicionados à existência de dotação orçamentária e à previsão na Lei Orçamentária Anual (LOA).
Cargos vagos do Hemocentro DF
Dados coletados do Portal da Transparência do DF apontam que 154 cargos estão vagos, sendo:
- Agente de Atividades do Hemocentro: 19 cargos vagos;
- Técnico de Atividades do Hemocentro: 108 cargos vagos; e
- Auxiliar de Transpores Urbanos: 27 cargos vagos.
Carreira no Hemocentro DF
Atribuições dos cargos do concurso Hemocentro DF
Administração: Planejar, coordenar, supervisionar, avaliar e executar atividades referentes a estudos, pesquisas, análises e projetos relacionados a gestão de pessoas, orçamento, finanças, material, transporte, patrimônio, cargos e salários, organização e métodos.
Analista de Laboratório – Biologia, Biomedicina e Farmácia-Bioquímica: Planejar, coordenar, supervisionar, avaliar e executar atividades referentes a hemoterapia e hematologia, na sua área de competência.
Arquivologia: Planejar, coordenar, supervisionar, avaliar e executar atividades arquivistas, estudos e pesquisas com enfoque histórico-administrativo sobre gerenciamento da informação e gestão documental e sua aplicação.
Assistência Social: Planejar, coordenar, supervisionar, avaliar e executar atividades intra e extra institucionais, referentes à captação de doadores de sangue total e por aférese, de medula óssea e de sangue de cordão umbilical.
Comunicação Social – Jornalismo: Planejar, coordenar, supervisionar, avaliar e executar atividades relativas à cobertura dos eventos e das reuniões, quando a Fundação Hemocentro for parte e manifestar sobre os tópicos referentes à área de comunicação social.
Comunicação Social – Relações Públicas: Planejar, coordenar, supervisionar, avaliar e executar atividades referentes ao relacionamento da Fundação Hemocentro com seus diversos públicos de interesse, mediante estratégias de comunicação.
Contabilidade: Planejar, coordenar, supervisionar, avaliar e executar atividades relacionadas à contabilidade em geral, com vistas à elaboração orçamentária e ao controle da situação financeira e patrimonial.
Direito e Legislação: Planejar, coordenar, supervisionar, avaliar e executar atividades relacionadas a pesquisas jurídicas, estudos e análises de dados relativos à área.
Economia: Planejar, coordenar, supervisionar, avaliar e executar atividades referentes a pesquisa, estudos, análise do ambiente econômico e financeiro e sua aplicação.
Enfermagem: Planejar, coordenar, supervisionar, avaliar e executar atividades referentes às ações de enfermagem no âmbito da assistência e pesquisa, nos diferentes níveis de complexidade das ações de saúde e educação sanitária.
Estatística: Planejar, coordenar, supervisionar, avaliar e executar atividades referentes ao estudo, pesquisa e levantamento do conhecimento e interpretação dos fenômenos estatísticos e sua representação gráfica.
Farmácia: Planejar, coordenar, supervisionar, avaliar e executar atividades referentes a farmácia hospitalar, gestão de medicamentos e insumos e gestão da qualidade na Hemorrede Pública do Distrito Federal.
Fisioterapia: Planejar, coordenar, supervisionar, avaliar e executar atividades referentes a métodos e técnicas fisioterapêuticas com a finalidade de restaurar, desenvolver e conservar a capacidade física do paciente após diagnóstico e solicitação médica.
Odontologia: Planejar, coordenar, supervisionar, avaliar e executar atividades referentes a rotinas clínicas, orientando e prestando atendimento a pacientes e servidores da Fundação Hemocentro de Brasília.
Psicologia: Planejar, coordenar, supervisionar, avaliar e executar atividades relativas à Psicologia, tais como recrutamento, seleção, treinamento, orientação profissional, acompanhamento e avaliação de desempenho, tratamento psicoterápico e prevenção da saúde mental.
Tecnologia da Informação: Planejar, coordenar, supervisionar, avaliar e executar atividades relacionadas aos sistemas informatizados do órgão.
Agente Administrativo: Executar atividades de nível médio relacionadas à execução de serviços de apoio administrativo, referentes à pesquisa e planejamento, recursos humanos, finanças, orçamento, patrimônio, material, transporte, cargos e salários, microfilmagem, arquivo, documentação, comunicação e modernização.
Técnico de Hemoterapia e Hematologia: Executar atividades técnicas de nível médio na área de Hematologia e Hemoterapia junto a doadores de sangue, de medula óssea, de sangue, cordão umbilical e placentário, de órgãos, e pacientes da Hemorrede Pública do Distrito Federal.
Técnico de Informática: Executar atividades de nível médio referentes a técnicas de informática, sob coordenação e supervisão da Gerência de Tecnologia da Informação.
Técnico em Contabilidade: Executar atividades de nível médio referentes à contabilidade geral; participar de programas de treinamento e desenvolvimento.
Técnico em Radiologia: Executar atividades de nível médio referentes às suas atividades de forma associada aos conhecimentos adquiridos em radiologia geral e de manipulação de equipamentos emissores de radiação ionizante nas suas diferentes modalidades.
Técnico em Saúde Bucal: Executar atividades de nível médio referentes a técnicas de higiene dental na área de saúde da Hemorrede Pública do Distrito Federal, sob coordenação e supervisão do Odontólogo, bem como prestar assistência aos doadores e pacientes da Hemorrede Pública do Distrito Federal.
Requisitos para o Concurso Hemocentro DF
Os cargos de Analista exigem formação de nível superior, com diploma reconhecido pelo MEC e especificado na área desejada. Para os interessados nos cargos de Técnico, é necessário formação de nível médio e certificado de curso técnico, baseado na área de atuação.
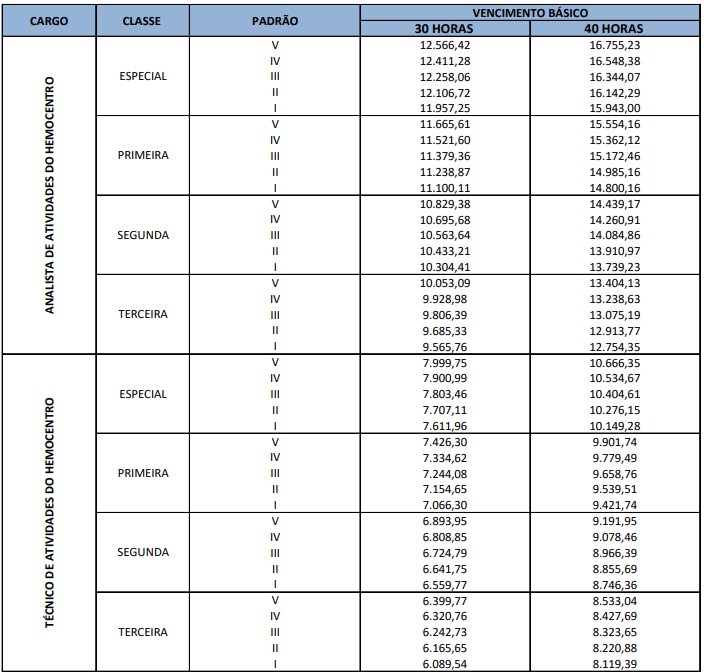
Remuneração atual para o Concurso Hemocentro DF
- Técnico – R$ 6.089,54 (30h) – R$ 8.119,39 (40h)
- Analista – R$ 9.565,76 (30h) – R$ 12.754,35 (40h)

Último concurso Hemocentro DF
O último concurso do Hemocentro DF teve seu edital publicado em 2016, ofertando 79 vagas de provimento imediato e 321 em cadastro de reserva nos cargos de Analista e Técnico, sob organização do IADES.
NÍVEL SUPERIOR
- Administração: 3 + 12 CR
- Analista de Laboratório – Biologia, Biomedicina e Farmácia-Bioquímica: 18 + 42 vagas CR
- Arquivologia: 1 + 4 CR
- Assistência Social: 1 + 4 CR
- Comunicação Social – Jornalismo: 1 + 4 CR
- Comunicação Social – Relações Públicas: 1 + 4 CR
- Contabilidade: 2 + 8 CR
- Direito e Legislação: 1 + 4 CR
- Economia: 2 + 8 CR
- Enfermagem: 10 + 35 CR
- Estatística: 1 + 4 CR
- Farmácia: 2 + 8 CR
- Fisioterapia: 1 + 4 CR
- Odontologia: 1 + 4 CR
- Psicologia: 1 + 4 CR
- Tecnologia da Informação: 2 + 8 CR
NÍVEL MÉDIO
- Agente Administrativo: 10 + 80 CR
- Técnico de Hemoterapia e Hematologia: 12 + 43 CR
- Técnico de Informática: 4 + 21 CR
- Técnico em Contabilidade: 2 + 8 CR
- Técnico em Radiologia: 2 + 8 CR
- Técnico em Saúde Bucal: 1 + 4 CR
Etapas do concurso
As provas Objetivas e Discursivas, para todos os cargos do concurso Hemocentro DF, foram aplicadas no período da tarde, com duração de 4 horas, em cidades do Distrito Federal.
A prova objetiva foi composta por 50 questões, de múltipla escolha, dividida em: Conhecimentos Básicos, com peso 1 e Conhecimentos Específicos, com peso 2.
Nomeações do Concurso Hemocentro DF
Segundo o relatório de nomeação dos concursos do DF, de dezembro de 2018, já foram nomeados 79 candidatos, sendo 31 no cargo de Técnico e 48 de Analista:

Concorrência do Concurso Hemocentro DF
Foram 73.528 inscritos no concurso de 2017. As 48 vagas para os cargos de analista receberam 28.080 inscrições, sendo uma demanda de 585 candidatos por vaga.
Para Técnico, 45.448 pessoas se inscreveram para concorrer a 31 vagas, uma média de 1.467 candidatos por vaga. Abaixo, uma relação mais detalhada:
| Cargo | Inscritos | Vagas | Demanda |
| Administração | 2.925 | 3 | 975 |
| Analista de Laboratório | 4.744 | 18 | 263 |
| Arquivologia | 248 | 1 | 248 |
| Assistência Social | 897 | 1 | 897 |
| Comunicação Social – Jornalismo | 715 | 1 | 715 |
| Comunicação Social – Relações Públicas | 123 | 1 | 123 |
| Contabilidade | 1.144 | 2 | 572 |
| Direito e Legislação | 2.676 | 1 | 2.676 |
| Economia | 342 | 2 | 171 |
| Enfermagem | 8.431 | 10 | 843 |
| Estatística | 98 | 1 | 98 |
| Farmácia | 956 | 2 | 478 |
| Fisioterapia | 971 | 1 | 971 |
| Odontologia | 766 | 1 | 766 |
| Psicologia | 1.091 | 1 | 1.091 |
| T.I. | 1.953 | 2 | 976 |
| Agente Administrativo | 39.228 | 10 | 3.922 |
| Técnico de Hemoterapia e Hematologia | 1.957 | 12 | 163 |
| Técnico de Informática | 1.838 | 4 | 459 |
| Técnico em Contabilidade | 528 | 2 | 264 |
| Técnico em Radiologia | 1.380 | 2 | 690 |
| Técnico em Saúde Bucal | 517 | 1 | 517 |
Quer saber tudo sobre concursos previstos?
Confira nossos artigos!
Quer estudar para o concurso Hemocentro DF?

Informações do concurso Hemocentro DF
- Previsão: 2026
- Vagas: 123
- Cargos: Analista e Técnico de Atividades do Hemocentro
- Banca: a definir
- Escolaridade: médio e superior
- Último edital: Hemocentro DF 2016